Part II of this study show some interesting characteristic of the new implementation of the AIM-54 Phoenix.
The scenario I used is simple, but different from the previous. In fact, even the lowest TA / ATA scenario used Part I was not a parallel head-on. Since the idea was assessing the guidance, an offset was always induced, albeit minimal in some cases. In this case, instead, both TA and ATA equal zero.
The first set used sees both aircraft at 25,000ft at similar speed (0.9 vs 0.8). A common situation in a long mission, where fuel is a fundamental asset. Before the recent patch, the Mk60 had no issues in this scenario although, of course, it benefitted by higher speed and altitude.
The second set sees the F-14 flying higher, at FL350, and faster, M1.2. The results are fascinating.
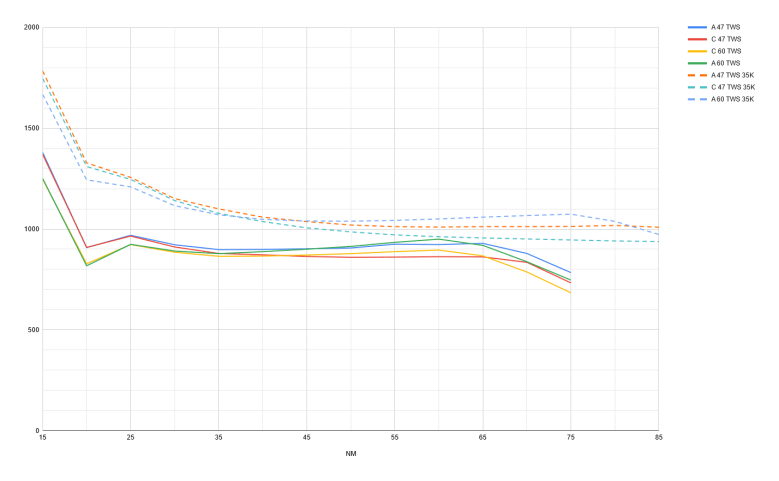
For simplicity’s sake, I used only TWS, and compared A vs C for both motors.
A Two-speeds beast
The results of the first test are almost as expected. The geometry allows the A to perform very well, in conjunction with its lighter weight. A peculiar behaviour is appreciable between 40 and 60 nautical miles SR: the impact speed of the missile actually increased, before winding down after 65nm.
The Charlie version is heavier but with a much improved seeker, and it had no real reasons to shine in this test, as the target is a straight-flying drone.
Compared to the AIM-54A, it does not share the same increase in speed between 40 and 60 nm, and it seems to suffer noticeably both at low and high ranges. In particular, between 15nm and 30nm, with a quite absurd drop at 20nm.
The second set included the AIM-54A Mk47 TWS, the C47 TWS and the A 60 TWS. The results are unexpected. Rather than a simple positive offset, they are drastically different. In fact, the Phoenix is an entirely different beast when launched fast and high, although I deliberately decided not be too extreme (35,000ft M1.2 is reachable even with a fairly heavy Tomcat by unloading to gain speed and trading it for altitude).
The difference at short range is staggering: at 15nm, the “slow” A Mk47 reaches M2.3, the fast and higher reaches 3.1. Most importantly, the huge performance gap at 20nm is missing. It is probably due to the fact that at 15nm and 20nm, the Phoenix does not loft, but it does loft at 25nm+. Thus, at 20nm the missile has exhausted its motor, but has no altitude to trade for speed.
An interesting characteristic of the Mk60 motor is that it provides the AIM-54 a greater speed in the endgame, right before “falling”. At short range, it is slightly less performing than the Mk47 in terms of top speed, but as the next paragraph will show, those missiles impact the target earlier than the Mk47s.
Other interesting observations touch the ability of the new AIM-54 to retain energy, at least against low TA targets. Especially when employed fast and high, the performance is very similar no matter the range. In this profile, even against distant targets, the motor is still pushing almost until the end of the first, steeper, part of the climb, thus allowing the Phoenix to trade a considerable amount of energy for altitude.
Again at long range, when the AIM-54 start its dive it accelerates further if its altitude is above ~50,000ft.
These considerations highlight a fundamental aspect of the new missile: investing in speed and altitude is worth it. The old Mk60 was so powerful that it benefitted proportionally less of the energy investment, whereas the new missile is a whole different beast if pushed fast enough. Getting high is important now and, as mentioned, a subsequent series of climbs and unloads help to get high and fast relatively quickly.

Impact distance
The following chart shows the impact distance relative to the distance travelled against the range. The dashed series are the “high and fast” ones.
This chart is less intuitive than the previous, so here is a short explanation: if the percentage is high, it means that the F-14 has got quite close to the target at the impact. Obviously, the F-14 can crank or manoeuvre post A-Pole, but in this case, it is not. The point is conveying how investing more energy into the missile pays dividends. Looking at the dashed lines, in fact, the percentage is lower; thus the impact happened relatively far away, no matter the fact that the Tomcat flew at Mach 1.2 the whole time. Translated into a more understandable scenario, it means that the investment in energy allows the missile to arrive faster and farther. This benefits the missile’s endgame, plus creates greater separation between the target and the fighter, allowing room for a recommit for example, and, in general, more flexibility.

Food for thoughts & Conclusions
Before wrapping up this brief look, two more points:
- Cooperation with MRM carriers: although the 20-25nm gap can be filled by the AIM-7 Sparrow properly assisted, playing along MRM carriers will bring more benefits. As we have seen, the new AIM-54 is still a beast at long range if shot following new parameters (most of them still have to be discovered and refined), but the medium range sees it falling behind. I have not studied the missile acceleration yet, but the older implementation was already lagging behind missiles such as the AIM-120. Therefore, if you play in a modern setting, this is where F-16 or F/A-18 can come in and cooperate. In previous time settings, capable SARH missile carriers such as the Mirage 2000 can fit nicely too.
- Imagining the new LAR: The lack of datapoints prevent the determination of a proper LAR, but crossing the observations of Part I with the new data, we can imagine two different LAR diagrams, one for each mission (potentially, two more, one for each motor). The LAR of the AIM-54A will probably be more elongated and narrow, since the guidance is not as accurate and, probably, getting closer to the beam may affect it more than the new, “fancy”, Charlie. On the other hand, the C is heavier, it does not provide the same results against low TA targets, but guidance and features help it more in unfavourable conditions.
At the end of the day, the missile is now generally closer to its real counterpart when real data and DCS are compared. There is always room for improvements, of course: this is not the final version, and there are still some limitations plaguing the Phoenix and the AWG-9 even outside the mere missile performance (e.g. lack of dual guidance, the activation of the seeker hardcoded at 10nm, et cetera).
The problem, players-wise, is getting over-fixated on the older implementation. I read real tantrums from some players, because their first reaction was focusing only on the top speed of the missile, disregarding everything else. All we need to do is tabula rasa, and starting from scratch (the new Timeline’s ranges are going to be interesting, and the 3/1/2 is probably going to become more common).
Thinking outside the box is the key to make everything work. Ever more so, in a videogame such as DCS. So, drop your tissues, tears and salt, and start working! 🙂
I do not plan to go deeper into this topic at the moment. This is not the final version of the AIM-54, so I do not want to commit to a hundred-hours study yet.
If I find any other peculiarity, especially as the familiarity with the new missile increases, I will surely post a new article or update the two parts of this brief study.
In the meantime, more information can be found in ED’s forum, in the post dedicated to the new missile.
